การเข้าใจความแตกต่างระหว่างความเร็วในการตัดและความเร็วของแกนหมุนเป็นสิ่งสำคัญอย่างยิ่งต่อการทำงานที่เสถียร ผิวสำเร็จที่ดี และอายุการใช้งานที่ยาวนานขึ้น ช่างเครื่องหลายคนมักสับสนระหว่างสองแนวคิดนี้ แต่ทั้งสองแนวคิดนี้มีความแตกต่างกัน ความเร็วตัดหมายถึงความเร็วที่คมตัดเคลื่อนที่ผ่านวัสดุ ในขณะที่ความเร็วของแกนหมุน (RPM) หมายถึงความเร็วในการหมุนของเครื่องมือ
ในงานกัดและกลึง CNC การเลือกความเร็วตัดและความเร็วแกนหมุนที่เหมาะสมจะช่วยลดความร้อน ป้องกันการสึกหรอของเครื่องมือ และเพิ่มประสิทธิภาพการตัดเฉือน คู่มือนี้จะอธิบายเกี่ยวกับความเร็วตัดเทียบกับความเร็วแกนหมุน วิธีการคำนวณ และการทำงานร่วมกันของความเร็วตัดกับวัสดุต่างๆ เช่น เหล็ก สเตนเลส และอะลูมิเนียม
ความเร็วตัดหมายถึงความเร็วเชิงเส้นที่คมตัดของเครื่องมือเคลื่อนที่ผ่านพื้นผิวของชิ้นงาน โดยทั่วไปจะมีหน่วยวัดเป็นเมตรต่อนาที (m/min) หรือฟุตต่อนาที (SFM) ต่างจากความเร็วของแกนหมุนที่อธิบายความเร็วในการหมุนของเครื่องมือ ความเร็วในการตัดจะเน้นที่ความเร็วการสัมผัสจริงระหว่างเครื่องมือและวัสดุ
การเลือกความเร็วในการตัดที่ถูกต้องเป็นสิ่งสำคัญอย่างยิ่ง เพราะส่งผลโดยตรงต่ออายุการใช้งานของเครื่องมือ การเกิดความร้อน การเกิดเศษ และเสถียรภาพโดยรวมของการตัดเฉือน ความเร็วในการตัดที่สูงขึ้นจะก่อให้เกิดความร้อนมากขึ้นและอาจลดอายุการใช้งานของเครื่องมือ ในขณะที่ความเร็วที่ต่ำเกินไปอาจทำให้การคายเศษไม่ดีและเกิดการสะสมของเศษที่คมตัด
ความเร็วในการตัดยังแตกต่างกันไปขึ้นอยู่กับวัสดุที่ตัด ตัวอย่างเช่น อะลูมิเนียมให้ความเร็วในการตัดสูงมาก ในขณะที่สเตนเลสต้องการความเร็วที่ต่ำกว่ามากเนื่องจากความแข็งและความไวต่อความร้อน โดยทั่วไปเครื่องมือคาร์ไบด์สมัยใหม่รองรับความเร็วในการตัดที่สูงกว่าเครื่องมือเหล็กกล้าความเร็วสูง (HSS)
ในงานกลึง CNC ความเร็วในการตัดทำหน้าที่เป็นพื้นฐานในการคำนวณความเร็วรอบแกนหมุน (RPM) และรับรองการทำงานกัด กลึง และเจาะที่มีประสิทธิภาพ

ความเร็วแกนหมุน หมายถึงความเร็วในการหมุนของเครื่องมือหรือชิ้นงาน วัดเป็นรอบต่อนาที (RPM) ซึ่งบอกจำนวนครั้งที่เครื่องมือหมุนในหนึ่งนาที ในขณะที่ความเร็วในการตัดจะเน้นที่การเคลื่อนที่เชิงเส้นของเครื่องมือบนวัสดุ ความเร็วแกนหมุนจะอธิบายถึงการหมุนของเครื่องมือเอง
ความเร็วของแกนหมุนได้รับอิทธิพลโดยตรงจากเส้นผ่านศูนย์กลางของเครื่องมือ เครื่องมือขนาดเล็กต้องการรอบต่อนาทีที่สูงกว่าเพื่อให้ได้ความเร็วตัดที่เท่ากัน ในขณะที่เครื่องมือขนาดใหญ่ต้องการรอบต่อนาทีที่ต่ำลงเพื่อหลีกเลี่ยงความร้อนและการสั่นสะเทือนที่มากเกินไป นี่คือเหตุผลที่การเปลี่ยนขนาดเครื่องมือจำเป็นต้องคำนวณความเร็วของแกนหมุนใหม่เสมอ
การเลือกความเร็วรอบแกนหมุนที่ถูกต้องเป็นสิ่งสำคัญเพื่อป้องกันการสั่น การแตกหักของเครื่องมือ ผิวเคลือบที่ไม่ดี และการสึกหรอมากเกินไป ความเร็วรอบที่มากเกินไปอาจทำให้คมตัดร้อนเกินไป ในขณะที่ความเร็วรอบที่น้อยเกินไปอาจทำให้เกิดการเสียดสีแทนที่จะตัด
ในงานกัดและกลึง CNC ความเร็วของแกนหมุนจะทำงานร่วมกับความเร็วตัดและอัตราป้อน เพื่อให้มั่นใจถึงประสิทธิภาพการตัดเฉือนที่เสถียร ถือเป็นพารามิเตอร์สำคัญในการเขียนโปรแกรมเส้นทางเครื่องมือ โดยเฉพาะอย่างยิ่งเมื่อต้องตัดวัสดุต่างๆ เช่น เหล็ก อลูมิเนียม และสแตนเลส

แม้ว่าความเร็วในการตัดและความเร็วแกนหมุนจะเกี่ยวข้องกัน แต่ก็อธิบายถึงสองด้านที่แตกต่างกันโดยสิ้นเชิงของการตัดเฉือน:
ความเร็วในการตัดเป็นเส้นตรง; ความเร็วแกนหมุนเป็นรอบ
ความเร็วในการตัดวัดความเร็วที่คมตัดเคลื่อนที่ผ่านพื้นผิววัสดุ
ความเร็วของแกนหมุนวัดความเร็วในการหมุนของเครื่องมือเป็นรอบต่อนาที
ความเร็วในการตัดคงที่ ความเร็วของแกนหมุนจะเปลี่ยนแปลงตามเส้นผ่านศูนย์กลางของเครื่องมือ
ช่างเครื่องเลือกความเร็วในการตัดตามวัสดุ (เหล็ก, สแตนเลส, อลูมิเนียม)
จะต้องคำนวณความเร็วของแกนหมุนตามเส้นผ่านศูนย์กลางของเครื่องมือเพื่อให้ตรงกับความเร็วในการตัด
ความเร็วในการตัดส่งผลต่อความร้อนและการสึกหรอของเครื่องมือ
ความเร็วในการตัดที่สูงจะเพิ่มความร้อนและลดอายุการใช้งานของเครื่องมือ
ความเร็วในการตัดที่ต่ำอาจทำให้เกิดการเสียดสีและการเกิดเศษที่ไม่ดี
ความเร็วของแกนหมุนส่งผลต่อความเสถียรและการตกแต่งพื้นผิว
รอบเครื่องยนต์มากเกินไปอาจทำให้เกิดการสั่นสะเทือนหรือเสียงดังได้
รอบต่อนาทีน้อยเกินไปทำให้พื้นผิวขรุขระและการตัดไม่มีประสิทธิภาพ
ความเร็วในการตัดจะกำหนดรอบต่อนาที
ความเร็วในการตัดเป็นจุดเริ่มต้น
ความเร็วรอบแกนหมุน (RPM) คำนวณจากสูตรความเร็วในการตัด
การเข้าใจถึงความแตกต่างเหล่านี้จะช่วยให้มั่นใจได้ถึงประสิทธิภาพการตัดเฉือนที่ดีขึ้น อายุการใช้งานเครื่องมือที่ยาวนานขึ้น และการเขียนโปรแกรมที่แม่นยำยิ่งขึ้นในการดำเนินการ CNC
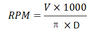
การคำนวณความเร็วในการตัดและความเร็วของแกนหมุนที่แม่นยำเป็นสิ่งสำคัญสำหรับการตัดเฉือน CNC ที่มีประสิทธิภาพและปลอดภัย หลักการทำงานมีดังนี้:
ความเร็วในการตัด (V) โดยทั่วไปวัดเป็นเมตรต่อนาที (m/min) หรือฟุตต่อนาทีที่ผิวดิน (SFM)
สูตรคำนวณความเร็วในการตัดคือ:

V = ความเร็วในการตัด
D = เส้นผ่านศูนย์กลางเครื่องมือ
RPM = ความเร็วรอบแกนหมุน
สิ่งนี้แสดงให้เห็นว่าความเร็วในการตัดขึ้นอยู่กับทั้งความเร็วของแกนหมุนและเส้นผ่านศูนย์กลางของเครื่องมือ
หากคุณทราบความเร็วในการตัดที่ต้องการ คุณสามารถคำนวณความเร็วของแกนหมุนได้ดังนี้:
ปรับ D ให้ตรงกับเส้นผ่านศูนย์กลางของเครื่องมือเป็นมิลลิเมตร
สำหรับนิ้ว ให้แปลง SFM ให้เป็นหน่วยที่เหมาะสม
เครื่องกัดปลายขนาดเส้นผ่านศูนย์กลางเล็ก: ต้องใช้ RPM สูงเพื่อให้บรรลุความเร็วในการตัดที่แนะนำ
เครื่องกัดขนาดเส้นผ่านศูนย์กลางใหญ่: ต้องใช้ RPM ต่ำเพื่อรักษาความเร็วในการตัดเท่าเดิม
อะลูมิเนียมช่วยให้ตัดได้เร็วยิ่งขึ้น ในขณะที่สแตนเลสต้องใช้ความเร็วที่ต่ำกว่าเพื่อหลีกเลี่ยงความร้อนสูงเกินไป
ควรตรวจสอบคำแนะนำความเร็วในการตัดของผู้ผลิตเครื่องมือเสมอ
ใช้ซอฟต์แวร์หรือเครื่องคำนวณ CAM เพื่อให้แน่ใจว่า RPM ถูกต้อง
ผสมผสานความเร็วแกนหมุนที่ถูกต้องเข้ากับอัตราป้อนที่เหมาะสมเพื่อการตัดเฉือนที่เหมาะสมที่สุด
เมื่อเข้าใจสูตรเหล่านี้แล้ว คุณจะสามารถตั้งค่าความเร็วในการตัดและความเร็วแกนหมุนที่ถูกต้องเพื่อเพิ่มอายุการใช้งานของเครื่องมือ ลดความร้อน และให้ได้พื้นผิวสำเร็จที่ดีขึ้น
เส้นผ่านศูนย์กลางของเครื่องมือมีบทบาทสำคัญในการกำหนดความเร็วของแกนหมุนสำหรับความเร็วตัดที่กำหนด การทำความเข้าใจความสัมพันธ์นี้จะช่วยป้องกันความเสียหายของเครื่องมือและช่วยให้มั่นใจถึงประสิทธิภาพการตัดเฉือนที่สม่ำเสมอ
เครื่องมือที่มีเส้นผ่านศูนย์กลางเล็กจะต้องหมุนเร็วขึ้นเพื่อรักษาความเร็วในการตัดเท่าเดิม
ตัวอย่าง: เครื่องกัดปลายขนาด 10 มม. ต้องใช้ RPM ที่สูงกว่าเครื่องกัดขนาด 50 มม. มากที่ความเร็วในการตัดเท่ากัน
รอบต่อนาทีสูงสำหรับเครื่องมือขนาดเล็กจะเพิ่มความเสี่ยงต่อการสั่นสะเทือน ดังนั้นการรักษาสมดุลความเร็วของแกนหมุนและอัตราป้อนจึงมีความสำคัญ
เครื่องมือที่มีเส้นผ่านศูนย์กลางใหญ่ครอบคลุมพื้นผิวได้มากขึ้นต่อการปฏิวัติหนึ่งครั้ง
รอบต่อนาทีที่ต่ำลงช่วยป้องกันความร้อนที่มากเกินไปและลดการสึกหรอของเครื่องมือ
การใช้ RPM ที่ไม่ถูกต้องสำหรับเครื่องมือขนาดใหญ่สามารถนำไปสู่การได้พื้นผิวที่เสร็จเรียบร้อยหรือเครื่องมือแตกหักได้
เอ็นมิลล์สว่านและเครื่องมือเจาะแต่ละอย่างต้องมีการปรับความเร็วของแกนหมุนที่เฉพาะเจาะจง
ควรคำนวณ RPM ใหม่เสมอเมื่อเปลี่ยนขนาดเครื่องมือ
ใช้ซอฟต์แวร์ CAM หรือเครื่องคำนวณแกนหมุนเพื่อรับรองความแม่นยำ
ความเร็วตัดและความเร็วแกนหมุนที่เหมาะสมเป็นสิ่งสำคัญอย่างยิ่งต่ออายุการใช้งานของเครื่องมือและประสิทธิภาพในการตัดเฉือน การตั้งค่าที่ไม่ถูกต้องอาจนำไปสู่ความเสียหายของเครื่องมือหรือชิ้นส่วนคุณภาพต่ำได้อย่างรวดเร็ว
สูงเกินไป: ก่อให้เกิดความร้อนมากเกินไป ทำให้เครื่องมือสึกหรออย่างรวดเร็วหรือขอบแตก
ต่ำเกินไป: ทำให้เกิดการเสียดสีมากกว่าการตัด ทำให้เกิดขอบสะสม (BUE) และพื้นผิวที่เคลือบไม่ดี
ความเร็วในการตัดที่เหมาะสมจะช่วยสร้างสมดุลระหว่างการเกิดความร้อน การเกิดเศษโลหะ และอายุการใช้งานของเครื่องมือ
รอบต่อนาทีสูงเกินไป: อาจทำให้เกิดการสั่นสะเทือน เสียงดัง และเครื่องมือเสียหายก่อนเวลาอันควร
รอบต่อนาทีต่ำเกินไป: ลดประสิทธิภาพในการตัดและอาจทำให้พื้นผิววัสดุเสียหายได้
อัตรา RPM ที่เหมาะสมช่วยให้การตัดมีเสถียรภาพและพื้นผิวสำเร็จแม่นยำ
ความเร็วในการตัดและความเร็วแกนหมุนทำงานร่วมกัน: ความเร็วในการตัดจะกำหนดเป้าหมาย และความเร็วแกนหมุนจะปรับตามเส้นผ่านศูนย์กลางของเครื่องมือ
การผสมผสานที่ถูกต้องจะช่วยลดการสึกหรอ ปรับปรุงพื้นผิว และเพิ่มอัตราการขจัดวัสดุ (MRR) ให้สูงสุด
เหล็กและสแตนเลสต้องใช้ความเร็วในการตัดที่ต่ำกว่าเพื่อป้องกันความร้อนสูงเกินไป
อะลูมิเนียมและโลหะที่อ่อนกว่าช่วยให้สามารถทำความเร็วได้สูงขึ้นและรอบต่อนาทีสูงขึ้น
เครื่องมือคาร์ไบด์รองรับความเร็วในการตัดที่สูงกว่าเมื่อเทียบกับเครื่องมือ HSS
วัสดุแต่ละชนิดต้องการความเร็วในการตัดและความเร็วแกนหมุนที่แตกต่างกันเพื่อให้ได้ประสิทธิภาพการตัดเฉือนที่ดีที่สุด การเลือกพารามิเตอร์ที่ถูกต้องจะช่วยให้เครื่องมือมีอายุการใช้งานยาวนานขึ้น ผิวสำเร็จที่ดีขึ้น และประสิทธิภาพที่สูงขึ้น
เหล็ก
ความเร็วในการตัด: 50–120 ม./นาที (ขึ้นอยู่กับความแข็งและโลหะผสม)
ใช้ RPM ปานกลางตามเส้นผ่านศูนย์กลางของเครื่องมือ
ความเร็วที่ต่ำช่วยป้องกันความร้อนสะสมและการสึกหรอของเครื่องมือ

สแตนเลส
ความเร็วในการตัด: 30–80 ม./นาที (วัสดุที่แข็งกว่าต้องตัดช้ากว่า)
ควรลดความเร็วของแกนหมุนเพื่อหลีกเลี่ยงการสั่นสะเทือนและการกระเทาะที่ขอบ
แนะนำให้ใช้น้ำหล่อเย็นเพื่อควบคุมอุณหภูมิ
อลูมิเนียม
ความเร็วในการตัด: 200–600 ม./นาที (โลหะอ่อน ตัดง่าย)
ความเร็วแกนหมุนสูงช่วยให้กำจัดวัสดุได้อย่างมีประสิทธิภาพ
ปรับอัตราฟีดเพื่อป้องกันการสั่นสะเทือนด้วยเครื่องมือที่มีเส้นผ่านศูนย์กลางเล็ก
ทองเหลือง ทองแดง พลาสติก
ทองเหลือง: ความเร็วในการตัดปานกลาง การไหลของเศษโลหะราบรื่น
ทองแดง: ความเร็วต่ำเพื่อป้องกันการแข็งตัวจากการทำงาน
พลาสติก: ความเร็วสูง การป้อนต่ำ และการอพยพเศษอย่างระมัดระวัง
การพิจารณาวัสดุเครื่องมือ
เหล็กกล้าความเร็วสูง (HSS): ความเร็วในการตัดต่ำกว่า เวลาสัมผัสยาวนานขึ้น
เครื่องมือคาร์ไบด์: รองรับความเร็วที่สูงขึ้นและ RPM ที่สูงขึ้นเพื่อการตัดเฉือนที่รวดเร็วยิ่งขึ้น
ควรปฏิบัติตามความเร็วที่ผู้ผลิตแนะนำสำหรับประเภทเครื่องมือเสมอ
ข้อผิดพลาดที่พบบ่อยในการตั้งค่าความเร็วตัดและความเร็วแกนหมุนมักเกิดจากการใช้วัสดุทุกชนิดเหมือนกัน วัสดุแต่ละชนิดต้องการความเร็วตัดที่แนะนำเฉพาะของตัวเอง ดังนั้นการใช้ค่าสากลเพียงค่าเดียวจึงนำไปสู่การสึกหรอของเครื่องมืออย่างรวดเร็วและผิวสำเร็จที่ไม่ดี อีกข้อผิดพลาดที่พบบ่อยคือการละเลยเส้นผ่านศูนย์กลางของเครื่องมือ เครื่องมือขนาดเล็กต้องทำงานที่รอบต่อนาทีสูงกว่า ในขณะที่เครื่องมือขนาดใหญ่ต้องการรอบต่อนาทีต่ำกว่า ผู้ปฏิบัติงานหลายคนตั้งความเร็วแกนหมุนสูงเกินไป ทำให้เกิดความร้อน การเผาไหม้ และการเชื่อมเศษโลหะ ในขณะที่รอบต่อนาทีต่ำเกินไปจะทำให้เกิดการเสียดสีแทนที่จะตัด การเลือกความเร็วตัดที่ไม่ตรงกับวัสดุเครื่องมือก็เป็นปัญหาที่พบบ่อยเช่นกัน เนื่องจาก HSS และคาร์ไบด์ต้องการพารามิเตอร์ที่แตกต่างกัน สุดท้าย ปริมาณน้ำหล่อเย็นที่ไม่เพียงพอ โดยเฉพาะอย่างยิ่งเมื่อตัดเฉือนสเตนเลสหรือโลหะผสมอุณหภูมิสูง จะช่วยเพิ่มความร้อนและทำให้อายุการใช้งานของเครื่องมือสั้นลงอย่างมาก
1. ความแตกต่างระหว่างความเร็วในการตัดและความเร็วแกนหมุนคืออะไร?
ความเร็วตัดหมายถึงความเร็วที่คมตัดเคลื่อนที่ผ่านพื้นผิววัสดุ (วัดเป็นเมตร/นาที หรือ ฟุต/นาที) ความเร็วแกนหมุนคือความเร็วในการหมุนของแกนหมุนเป็นรอบต่อนาที ความเร็วตัดเป็นตัวกำหนดรอบต่อนาทีที่ถูกต้องโดยพิจารณาจากเส้นผ่านศูนย์กลางของเครื่องมือ
2. เหตุใดความเร็วในการตัดจึงมีความสำคัญในการตัดเฉือน CNC?
เพราะช่วยควบคุมความร้อน การเกิดเศษ และการสึกหรอของเครื่องมือ ความเร็วในการตัดที่เหมาะสมจะช่วยยืดอายุการใช้งานของเครื่องมือ ผิวสำเร็จ และประสิทธิภาพการตัดโดยรวม
3. ฉันสามารถใช้ความเร็วในการตัดเดียวกันสำหรับเครื่องมือคาร์ไบด์และ HSS ได้หรือไม่
ไม่ เครื่องมือคาร์ไบด์สามารถทำงานได้ที่ความเร็วสูงกว่ามากเพราะทนความร้อนได้ดีกว่า เครื่องมือ HSS ต้องใช้ความเร็วต่ำเพื่อป้องกันการไหม้
4. จะเกิดอะไรขึ้นถ้าความเร็วแกนหมุนของฉันสูงเกินไป?
คุณอาจเห็นความร้อนสูงเกินไป ชิปสีน้ำเงิน เครื่องมือไหม้ หรือเครื่องมือเสียหายก่อนเวลาอันควร
5. จะเกิดอะไรขึ้นหากความเร็วแกนหมุนของฉันต่ำเกินไป?
เครื่องมือจะเสียดสีแทนที่จะตัด ส่งผลให้พื้นผิวสำเร็จไม่ดี เกิดความร้อนมากเกินไป และการตัดเฉือนไม่มีประสิทธิภาพ
6. น้ำหล่อเย็นและสารหล่อลื่นมีผลต่อความเร็วที่แนะนำหรือไม่?
ใช่ หากมีน้ำหล่อเย็นเพียงพอ คุณสามารถทำงานด้วยความเร็วที่สูงขึ้นเล็กน้อยและยืดอายุการใช้งานของเครื่องมือได้ โดยเฉพาะอย่างยิ่งเมื่อตัดสเตนเลสสตีลหรือซูเปอร์อัลลอย
การเข้าใจความแตกต่างระหว่างความเร็วตัดและความเร็วรอบแกนหมุนเป็นสิ่งสำคัญอย่างยิ่งต่อการทำงานที่เสถียร มีประสิทธิภาพ และคุ้มค่า เมื่อตั้งค่าพารามิเตอร์ทั้งสองนี้อย่างถูกต้อง คุณจะได้ผิวสำเร็จที่เรียบเนียนขึ้น อายุการใช้งานเครื่องมือที่ยาวนานขึ้น และผลผลิตที่สูงขึ้น ซึ่งเป็นสิ่งที่ช่าง CNC ทุกแห่งต้องการ เริ่มต้นด้วยตารางความเร็วที่แนะนำ ใช้สูตรที่เหมาะสม และปรับแต่งตามสภาพการตัดจริงของคุณเสมอ
หากคุณกำลังมองหาความน่าเชื่อถือ เครื่อง CNC YANGSEN นำเสนอศูนย์เครื่องจักรกลที่ออกแบบมาเพื่อความแม่นยำ ความทนทาน และการใช้งานในอุตสาหกรรมที่หนักหน่วง ติดต่อเราได้ตลอดเวลาเพื่อขอรับการสนับสนุนทางเทคนิคหรือขอใบเสนอราคาที่ตรงกับความต้องการด้านเครื่องจักรกลของคุณ